成人电影 土壤所在实际场地中甲苯和PAHs赋存形态与归趋方面的研究取得重要进展
2020年5月5日,环科院土壤所在Chemosphere学术期刊(影响因子5.108)发表了题为《Peculiar attenuation of soil toluene at contaminated coking sites》的研究论文。该研究揭示了焦化类场地中PAHs污染土壤中微生物多样性及假包杆菌丰度增加的响应规律,阐明了PAHs降解菌通过共代谢等作用加速甲苯在包气带土壤迁移过程中生物降解的机制。成果为推动焦化类场地VOC暴露风险精细化评估提供了重要的理论基础。土壤所张瑞环为该论文第一作者,姜林研究员为论文通讯作者。
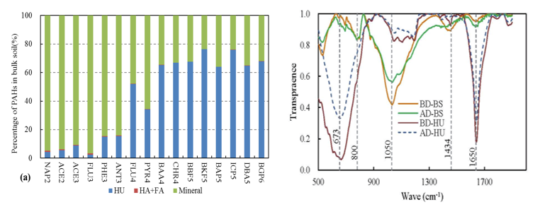
2020年5月18日,环科院土壤所在Environment Earth Science学术期刊发表了题为《Desorption and bioaccessibility of high-molecular-weight PAHs in aged field soil and humin-like fraction from a coke plant》的研究论文,揭示了北京某焦化厂污染老化土壤中PAHs主要与土壤中矿物质和胡敏素结合且更容易被胡敏素富集的分布规律。借助XAD-2辅助解吸及傅里叶红外光谱等技术探究高分子量及高毒性PAHs在土壤和胡敏素中的解吸规律发现,土壤结构被破坏的情景下,通常认为被“锁定”于胡敏素等有机质中的PAHs依然可解吸释放,存在一定的环境风险。研究成果进一步深化了团队对实际场地土壤中PAHs归趋行为的认识,为评估其环境与健康风险及开发基于活性调控的风险管控技术提供了理论基础。土壤所韩丹为论文第一作者,姜林研究员和钟茂生副研究员为论文共同通讯作者。
撰稿人:钟茂生
审核人(部门负责人):张丹
审批人(主管院领导):夏天翔
Copyright © 2010 成人电影-69成人电影-85成人电影 All Rights Reserved. 版权所有
地址: 北京市西城区北营房中街59号 邮政编码: 100037 京ICP备13046207号-2 京公网安备110102001292